基于概率功能连接的活动流模型研究
探究任务诱发和自发这两种基本脑活动之间的内在联系是神经科学的重要挑战之一。基于神经影像技术,既往研究发现静息态和执行不同认知任务时功能脑网络连接模式具有高度的相似性[1]。不过,这些研究并不能揭示任务诱发和自发脑活动之间的机制关系。通过建立数学模型,近年来有研究表明静息态功能连接能够预测任务诱发脑活动模式的个体差异[2]。特别地,研究者基于神经网络模型思想提出了一种大尺度的活动流模型[3],即一个给定脑区的激活大小可以通过其他所有区域的激活大小与该目标脑区的静息态功能连接线性加权求和来预测。但以前的研究主要采用静态的、线性的功能连接(即经典的皮尔逊相关或多元回归方法)作为活动流路径。考虑到大脑是一个动态的复杂系统,基于动态功能连接框架构建的静息态脑网络连接也许能够提供一种新的活动流路径表征。这将有助于促进我们理解分布式的认知激活是如何通过包含功能连接动态特性的内在网络拓扑结构来协调的。
2022年8月10日,永利yl23411尹大志研究员课题组在神经影像学国际知名期刊Human Brain Mapping在线发表了题为“Activity flow mapping over probabilistic functional connectivity”的研究论文。本研究首先基于课题组前期提出的概率功能连接[4-6]作为路径建立活动流映射模型,并与使用经典的皮尔逊相关和多元回归功能连接路径进行比较(图1)。其次,针对每个脑区分别采用其网络内和网络间功能连接进行活动流映射,以揭示脑区内在功能连接拓扑结构与功能角色之间的机制关系。最后,探究任务对比度类型(紧密对比度和松散对比度)对不同功能系统活动流预测性能的影响,以解析高级认知过程和功能系统之间的机制关系。

图1:方法学示意图。(a)活动流模型及不同连接路径类型;(b)基于稳态脑网络框架的皮尔逊相关和多元回归功能连接方法;(c)基于动态脑网络框架的概率功能连接方法。
与经典的皮尔逊相关和多元回归功能连接路径相比,本研究所提出的概率功能连接路径能够显著地改善个体水平的活动流预测。虽然多元回归功能连接路径显示较好的组水平活动流预测,但该方法更加依赖于静息态功能影像数据点的长度,即当仅采用1个run(共有4个run)的静息态数据时,多元回归功能连接路径显示较差的预测性能(图2和图3)。

图2:实际的与预测的脑激活之间的相似性。(a)实际的脑激活分布;(b-d)分别为基于经典的皮尔逊相关、多元回归、以及概率功能连接路径预测的脑激活分布。r表示个体水平的预测能力(先在个体水平评估预测准确性再进行组平均);r*表示组水平的预测能力(先进行脑激活组平均再评估预测准确性)。

图3:在全脑(All)和单个功能网络水平统计比较使用不同活动流路径的预测准确性。(a)和(b)分别基于4个和1个run的静息态数据构建的活动流路径。
通过探测脑区的网络内和网络间功能连接对活动流预测的各自贡献,结果发现仅使用网络内连接或网络间连接路径高级认知控制网络的活动流预测准确性都显著下降;对于初级感觉运动网络,仅使用网络间连接也会导致活动流预测准确性下降,而仅使用网络内连接显示出相当甚至提高的预测性能(图4)。

图4:基于三种不同的活动流路径(a,皮尔逊相关方法;b,多元回归方法;c,概率功能连接方法),脑区的网络内和网络间功能连接对活动流预测能力的贡献。
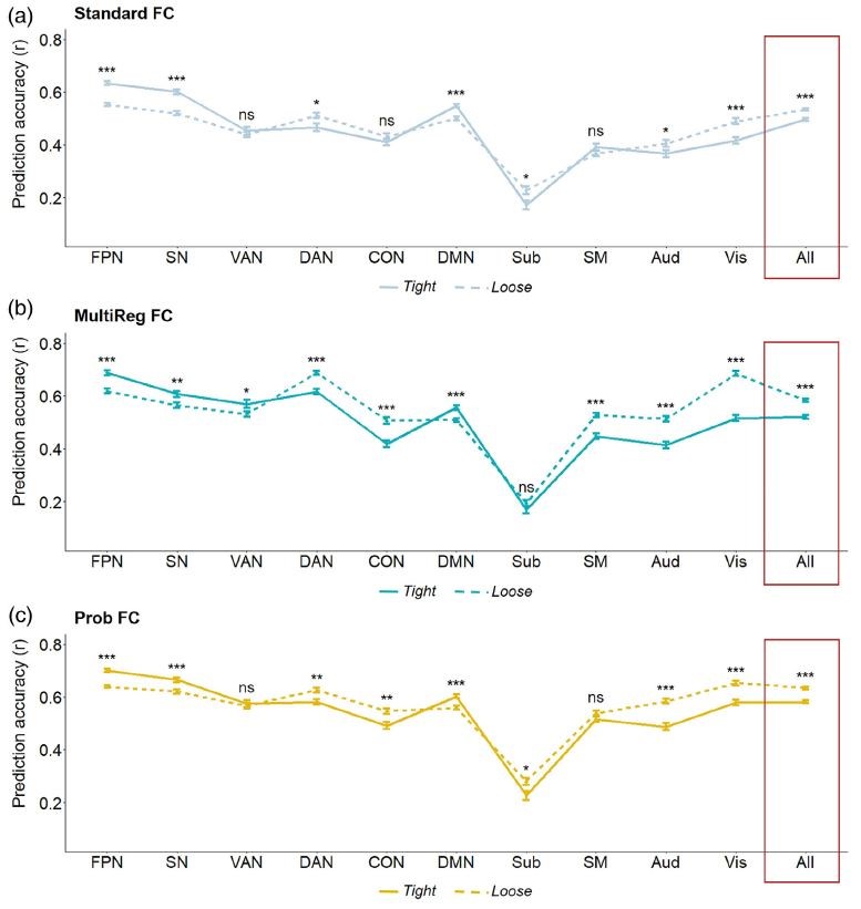
通过探测任务对比度对不同功能系统活动流预测的影响,结果显示与松散任务对比度相比较,高级认知控制网络(额顶网络和突显网络)对于紧密任务对比度的活动流预测准确性显著增高,而初级感觉网络(视觉网络和听觉网络)的预测准确性显著降低(图5)。该结果提示不同的任务对比度类型对高级认知控制和初级感觉系统的活动流预测能力具有相反的影响。

图5:基于三种不同的活动流路径(a,皮尔逊相关方法;b,多元回归方法;c,概率功能连接方法),任务对比度类型对不同功能系统活动流预测准确性的影响。
总之,本研究展示了一种很有前途的活动流路径(即概率功能连接),特别是用于个体水平的活动流预测。此外,结果发现脑区内在功能连接拓扑特性和任务对比度类型对不同功能系统的活动流预测具有不同的影响。这种系统水平的分化与大脑层次结构具有一致性,从而进一步证实了人类认知的活动流机制。
本论文的第一作者为永利yl23411科研助理朱恒成,通讯作者为尹大志研究员。永利yl23411博士生黄子懿、硕士生杨旖飞雪、宿凯强,物理与电子科学公司范明霞副教授、邹勇教授,以及华东师大附属精神卫生中心(上海市长宁精神卫生中心)李婷主任参与了本研究并给予了大力支持。该项工作得到了国家自然科学基金(31600869,81471651,11835003)和科技部“科技创新2030”-脑科学与类脑计算重大项目(2021ZD0202600)支持。
论文信息:
Zhu, H., Huang, Z., Yang, Y., Su, K., Fan, M., Zou, Y., Li, T., and Yin, D. *.(2022).Activity flow mapping over probabilistic functional connectivity. Human Brain Mapping, online published. doi: 10.1002/hbm.26044.
相关文献:
Cole, M. W., Bassett, D. S., Power, J. D., Braver, T. S., & Petersen, S. E. (2014).Intrinsic and task-evoked network architectures of the human brain. Neuron,83(1), 238-251.
Tavor, I., Parker Jones, O., Mars, R. B., Smith, S. M., Behrens, T. E., & Jbabdi, S.(2016). Task-free MRI predicts individual differences in brain activity during task performance. Science, 352(6282), 216-220.
Cole, M. W., Ito, T., Bassett, D. S., & Schultz, D. H. (2016). Activity flow over resting-state networks shapes cognitive task activations. Nature Neuroscience, 19(12),1718-1726.
Yin, D., Liu, W., Zeljic, K., Wang, Z., Lv, Q., Fan, M., . . . Wang, Z. (2016). Dissociable Changes of Frontal and Parietal Cortices in Inherent Functional Flexibility across the Human Life Span. The Journal of Neuroscience, 36(39), 10060-10074.
Yin, D., Wang, X., Zhang, X., Yu, Q., Wei, Y., Cai, Q., . . . Li, L. (2021). Dissociable plasticity of visual-motor system in functional specialization and flexibility in expert table tennis players. Brain Structure & Function, 226(6), 1973-1990.
Yin, D., & Kaiser, M. (2021). Understanding neural flexibility from a multifaceted definition. NeuroImage, 235, 118027.
