视听时间加工能力在成人孤独症和精神分裂症患者中的异同表现
人们身处一个视、听、味、嗅、触等多感觉模态信息丰富而混杂的世界,大脑每天在做的一项任务就是将相关的感觉信息无缝拼合,并且将无关的信息恰当地分离。在这样一个感觉整合的过程中,“时间接近性”是决定是否捆绑不同模态信息的重要线索之一。换言之,两个刺激呈现时间越接近,就越有可能被认为来源于同一客体,因而产生整合知觉。
每个人都有一个对刺激呈现时间差的容忍范围:当一对感觉信号呈现的时间差小于这个范围时,人们的大脑就会把它们觉知为同步的,并将其整合捆绑到一起。这个特定的时间容忍范围被称为“时间整合窗”(temporal binding window, TBW)。
在所有模态的感觉信息中,最受研究者关注的当属视听信息的时间加工能力,这可能是由于视听信息的整合能力在日常社会交往中起到极其关键的作用。举例而言,与他人进行社交沟通时,人们需要很好地整合他人的面部表情、手势姿态、语音语调、言语内容等视听信息,而视听整合的失败会导致对他人意图的误解,诱发一些不当的互动反应。
以往的研究发现,利用时间线索来整合和分离视听信息的能力在孤独症和精神分裂症群体中存在异常,即患者倾向于将时间上分离的视听信号进行错误捆绑,进而可能导致异常的感知觉体验和言语沟通困难。然而,前人研究往往关注单一临床群体,两类患者在视听时间加工能力方面的异同表现所知甚少。
永利yl23411晨晖学者周晗昱博士与中国科公司心理研究所陈楚侨研究员团队合作,开展了一项对比成人精神分裂症和孤独症患者视听时间加工能力的研究,相关成果已在线发表于精神病学领域重要国际期刊Schizophrenia。
研究招募了43名首发精神分裂症患者,35名高功能孤独症成人患者以及48名与临床组人口学信息匹配的健康对照,完成了一系列视听时序判断任务和同时性判断任务,来考察个体觉察视听信息时间错位的敏感度(即视听时间整合窗的大小)(图1)。

图1. 非言语(flashbeep)和言语 (syllable) 视听同步判断任务示意图
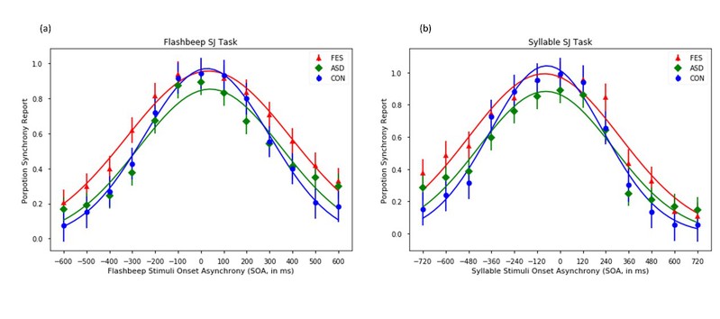
结果发现,精神分裂症患者的视听时间窗异常增大,即患者难以觉察视听信息在时间上的错位,而高功能成人孤独症患者在所有任务中都与健康对照无显著差异(见图2)。结合先前在儿童青少年期患者群体中的研究结果(Zhou et al., 2022),视听时间整合窗异常增大可能存在于不同年龄段的精神分裂症患者,而高功能孤独症患者的视听时间加工能力随着年龄增长逐渐“追赶”上同龄人,进入成年后达到正常状态。

图2. 三组被试的视听时间整合窗(Temporal Binding Window, TBW)拟合结果。不论是非言语(a)还是言语信号(b),首发精神分裂症患者(FES)的TBW均显著大于健康对照(CON),而成人孤独症患者(ASD)未见显著异常。
总结而言,孤独症、精神分裂症患者可能具有各自独特的感觉加工能力发展特征,这为理解并鉴别两者的病理机制提供了新的证据。在此基础上,周晗昱博士课题组拟进一步将研究视角拓展到高级的社会认知、自我知觉等领域,对比孤独症和精神分裂症的异同表现及相应的脑机制,促进鉴别诊断和针对性的干预治疗。
永利yl23411明园晨晖学者周晗昱博士与香港青山医院的Iris Lai为共同第一作者,中国科公司心理研究所陈楚侨研究员和香港大学精神医学系吕世裕副教授为共同通讯作者。该项目受到国家自然科学基金的资助。
论文信息:
Zhou H. Y.#, Lai, I. Y. S.#, Hung, K. S. Y., Chan, M. K. M., Ho, Z. T. Y., Lam, J. P. H., Lui, S. S. Y.*, Chan, R. C. K. *(2022). Audiovisual temporal processing in adult patients with first-episode schizophrenia and high-functioning autism. Schizophrenia, 8(1), 75. doi: 10.1038/s41537-022-00284-2.
相关文章:
Zhou, H. Y., Cui,X. L., Yang, B. R., Shi, L. J., Luo, X. R., Cheung, E. F. C., Lui, S. S. Y., Chan, R. C. K.* (2022). Audiovisual temporal processing in children and adolescents with schizophrenia and autism: Evidence from simultaneity judgement tasks and eye-tracking data. Clinical Psychological Science,10(3), 482-498.
